花潮论坛

搜索
热搜: 活动 交友 discuz

[时事新闻] 北京街头冬奥景观布置有序进行

[复制链接]

该用户从未签到

1645

主题

28万

回帖

31万

积分

贵宾

Rank: 7Rank: 7Rank: 7Rank: 7Rank: 7Rank: 7Rank: 7

花潮美女鼠牛虎兔龙蛇马羊猴鸡狗猪春风拂面星星情怀七彩绚丽王者至尊妙笔生花共看流星我心永远幸福快乐指尖上的流年花潮贵宾

 楼主| 发表于 2022-2-19 18:51 | 显示全部楼层
毋问我从哪里来 发表于 2022-2-19 18:51
冬奥俄选手不想领奖?心理揭秘:拿银牌比铜牌痛苦

2022年02月18日 15:58 新浪体育


                               
登录/注册后可看大图
特鲁索娃拿银牌不开心
  

  本来是奔着金牌去的,跳出了5个4周跳,依旧输给了同胞谢尔巴科娃,这种心理落差,拿了银牌确实高兴不起来。

回复 支持 反对

使用道具 举报

该用户从未签到

1645

主题

28万

回帖

31万

积分

贵宾

Rank: 7Rank: 7Rank: 7Rank: 7Rank: 7Rank: 7Rank: 7

花潮美女鼠牛虎兔龙蛇马羊猴鸡狗猪春风拂面星星情怀七彩绚丽王者至尊妙笔生花共看流星我心永远幸福快乐指尖上的流年花潮贵宾

 楼主| 发表于 2022-2-19 18:52 | 显示全部楼层
毋问我从哪里来 发表于 2022-2-19 18:51
特鲁索娃拿银牌不开心  
  本来是奔着金牌去的,跳出了5个4周跳,依旧输给了同胞谢尔巴科娃,这种心 ...

  再看旁边的铜牌得主、日本选手坂本花织的笑容,有点合不拢嘴,她能突破俄罗斯“三套娃”的重围,拿到块铜牌,实在太幸福了。

                               
登录/注册后可看大图
日本铜牌选手笑开花
  


回复 支持 反对

使用道具 举报

该用户从未签到

1645

主题

28万

回帖

31万

积分

贵宾

Rank: 7Rank: 7Rank: 7Rank: 7Rank: 7Rank: 7Rank: 7

花潮美女鼠牛虎兔龙蛇马羊猴鸡狗猪春风拂面星星情怀七彩绚丽王者至尊妙笔生花共看流星我心永远幸福快乐指尖上的流年花潮贵宾

 楼主| 发表于 2022-2-19 18:53 | 显示全部楼层
毋问我从哪里来 发表于 2022-2-19 18:52
  再看旁边的铜牌得主、日本选手坂本花织的笑容,有点合不拢嘴,她能突破俄罗斯“三套娃”的重围,拿到 ...

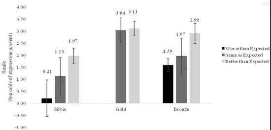
  心理预期与实际收获的符合度,决定着人的开心程度,这一心理现象反映到领奖台上,就成为了一个有趣的现象:拿银牌的,往往不如拿铜牌的开心。
  据美国明尼苏达大学的一份研究,这个心理现象在奥运会上相当普遍。
  威廉-海奇科克教授及其团队使用电脑软件,对2000到2016这5届夏季奥运会上的领奖台照片进行分析,涉及142个项目、67个国家的413名选手,结果显示,金牌得主的笑容最灿烂(这自不必提),而铜牌得主比银牌选手的笑容确实要更多。

回复 支持 反对

使用道具 举报

该用户从未签到

1645

主题

28万

回帖

31万

积分

贵宾

Rank: 7Rank: 7Rank: 7Rank: 7Rank: 7Rank: 7Rank: 7

花潮美女鼠牛虎兔龙蛇马羊猴鸡狗猪春风拂面星星情怀七彩绚丽王者至尊妙笔生花共看流星我心永远幸福快乐指尖上的流年花潮贵宾

 楼主| 发表于 2022-2-19 19:14 | 显示全部楼层
毋问我从哪里来 发表于 2022-2-19 18:53
  心理预期与实际收获的符合度,决定着人的开心程度,这一心理现象反映到领奖台上,就成为了一个有趣的 ...


                               
登录/注册后可看大图
开心度与期望值密切相关
  

回复 支持 反对

使用道具 举报

该用户从未签到

1645

主题

28万

回帖

31万

积分

贵宾

Rank: 7Rank: 7Rank: 7Rank: 7Rank: 7Rank: 7Rank: 7

花潮美女鼠牛虎兔龙蛇马羊猴鸡狗猪春风拂面星星情怀七彩绚丽王者至尊妙笔生花共看流星我心永远幸福快乐指尖上的流年花潮贵宾

 楼主| 发表于 2022-2-19 19:14 | 显示全部楼层
毋问我从哪里来 发表于 2022-2-19 19:14
开心度与期望值密切相关  

  海奇科克将这一现象称为“反事实思维”(counterfactual thinking):人们对结果的评判,取决于离期望的接近程度,越接近反而越容易失望。
  比如银牌获得者,他/她们倾向于向上和金牌得主对比:“我只差一点点就是金牌了!”这容易导致遗憾、懊恼的情绪。
  铜牌得主则倾向于朝下和第四名对比:“我拿到了奖牌!比差一步拿牌的人幸运多了!”这更容易使人快乐满足。
  在媒体的措辞上,你常能看到“喜获铜牌”、“勇夺奖牌”,但较少看到“喜获银牌”吧?因为那更多被形容为“痛失金牌”。

回复 支持 反对

使用道具 举报

该用户从未签到

1645

主题

28万

回帖

31万

积分

贵宾

Rank: 7Rank: 7Rank: 7Rank: 7Rank: 7Rank: 7Rank: 7

花潮美女鼠牛虎兔龙蛇马羊猴鸡狗猪春风拂面星星情怀七彩绚丽王者至尊妙笔生花共看流星我心永远幸福快乐指尖上的流年花潮贵宾

 楼主| 发表于 2022-2-19 19:35 | 显示全部楼层
毋问我从哪里来 发表于 2022-2-19 19:14
  海奇科克将这一现象称为“反事实思维”(counterfactual thinking):人们对结果的评判,取决于离期 ...


                               
登录/注册后可看大图
前三名里,银牌最不爱笑
  

  银牌选手难道就不笑吗?当然不是,但研究发现,银牌选手很多是在“强颜欢笑”。

回复 支持 反对

使用道具 举报

该用户从未签到

1645

主题

28万

回帖

31万

积分

贵宾

Rank: 7Rank: 7Rank: 7Rank: 7Rank: 7Rank: 7Rank: 7

花潮美女鼠牛虎兔龙蛇马羊猴鸡狗猪春风拂面星星情怀七彩绚丽王者至尊妙笔生花共看流星我心永远幸福快乐指尖上的流年花潮贵宾

 楼主| 发表于 2022-2-19 19:35 | 显示全部楼层
毋问我从哪里来 发表于 2022-2-19 19:35
前三名里,银牌最不爱笑  
  银牌选手难道就不笑吗?当然不是,但研究发现,银牌选手很多是在“强颜 ...

  旧金山大学心理学家大卫-马苏莫托对2004雅典奥运的柔道银牌运动员表情进行分析,发现忧伤占43%、不屑占14%、面无表情占39%。

                               
登录/注册后可看大图
孙杨拿银牌笑不出来
  

  2016里约奥运男子400米自由泳,孙扬以0.13秒输给霍顿,在领奖台上,他出于礼貌而强行微笑,但明显能看出憋着一股劲。

回复 支持 反对

使用道具 举报

该用户从未签到

1645

主题

28万

回帖

31万

积分

贵宾

Rank: 7Rank: 7Rank: 7Rank: 7Rank: 7Rank: 7Rank: 7

花潮美女鼠牛虎兔龙蛇马羊猴鸡狗猪春风拂面星星情怀七彩绚丽王者至尊妙笔生花共看流星我心永远幸福快乐指尖上的流年花潮贵宾

 楼主| 发表于 2022-2-19 19:36 | 显示全部楼层
毋问我从哪里来 发表于 2022-2-19 19:35
  旧金山大学心理学家大卫-马苏莫托对2004雅典奥运的柔道银牌运动员表情进行分析,发现忧伤占43%、不屑 ...

  而当2019年世锦赛两个人的名次调了个后,霍顿一脸不快拒绝登上领奖台,他的理由是抗议孙扬兴奋剂问题,但在情绪方面,肯定也有失利后的沮丧不甘。

                               
登录/注册后可看大图
轮到霍顿拿银牌……
  

  再看看两位冠亚军身边,拿到第三名的选手,两次颁奖始终显得心情不错:毕竟拿牌了嘛。

回复 支持 反对

使用道具 举报

该用户从未签到

1645

主题

28万

回帖

31万

积分

贵宾

Rank: 7Rank: 7Rank: 7Rank: 7Rank: 7Rank: 7Rank: 7

花潮美女鼠牛虎兔龙蛇马羊猴鸡狗猪春风拂面星星情怀七彩绚丽王者至尊妙笔生花共看流星我心永远幸福快乐指尖上的流年花潮贵宾

 楼主| 发表于 2022-2-19 19:36 | 显示全部楼层
毋问我从哪里来 发表于 2022-2-19 19:36
  而当2019年世锦赛两个人的名次调了个后,霍顿一脸不快拒绝登上领奖台,他的理由是抗议孙扬兴奋剂问题 ...

  在设置了冠亚军一对一决赛的项目中,这种情绪反差就更明显了。
  羽球“林李相争”时代,你常能在金牌决赛后看到这样的画面,林丹夺冠后笑容灿烂,心满意足的安抚着身边略显低沉的李宗伟,而第三名的情绪往往也比刚刚输球的李宗伟要好。

                               
登录/注册后可看大图
林李时代,亚军最不开心
  

  半决赛就输球而无缘金牌争夺战的选手,有更多时间去化解失望情绪,而且名次离金牌较远,失落感也不会过于强烈。

回复 支持 反对

使用道具 举报

该用户从未签到

1645

主题

28万

回帖

31万

积分

贵宾

Rank: 7Rank: 7Rank: 7Rank: 7Rank: 7Rank: 7Rank: 7

花潮美女鼠牛虎兔龙蛇马羊猴鸡狗猪春风拂面星星情怀七彩绚丽王者至尊妙笔生花共看流星我心永远幸福快乐指尖上的流年花潮贵宾

 楼主| 发表于 2022-2-19 19:36 | 显示全部楼层
毋问我从哪里来 发表于 2022-2-19 19:36
  在设置了冠亚军一对一决赛的项目中,这种情绪反差就更明显了。  羽球“林李相争”时代,你常能在金 ...

  但输掉决赛的选手,往往心里带着“离金牌只差一步”的失落,久久难以平复心情,甚至引为终生遗憾。

                               
登录/注册后可看大图
巴乔的背影
  

  1990男足世界杯,年轻的意大利球星巴乔随队夺得第三名,虽然之前经历了半决赛主场输给马拉多纳的失意,但三四名决赛中个人进球并拿到一枚铜牌,给了他很大的安慰。

回复 支持 反对

使用道具 举报

该用户从未签到

1645

主题

28万

回帖

31万

积分

贵宾

Rank: 7Rank: 7Rank: 7Rank: 7Rank: 7Rank: 7Rank: 7

花潮美女鼠牛虎兔龙蛇马羊猴鸡狗猪春风拂面星星情怀七彩绚丽王者至尊妙笔生花共看流星我心永远幸福快乐指尖上的流年花潮贵宾

 楼主| 发表于 2022-2-19 19:36 | 显示全部楼层
毋问我从哪里来 发表于 2022-2-19 19:36
  但输掉决赛的选手,往往心里带着“离金牌只差一步”的失落,久久难以平复心情,甚至引为终生遗憾。巴 ...

  4年后,巴乔的世界杯名次进了一步,从季军变为亚军,但决赛中射失点球的落寞背影,却成了他一生不愿回首的时代画面。

                               
登录/注册后可看大图
克洛普:输掉决赛比不进决赛痛苦
 


回复 支持 反对

使用道具 举报

该用户从未签到

1645

主题

28万

回帖

31万

积分

贵宾

Rank: 7Rank: 7Rank: 7Rank: 7Rank: 7Rank: 7Rank: 7

花潮美女鼠牛虎兔龙蛇马羊猴鸡狗猪春风拂面星星情怀七彩绚丽王者至尊妙笔生花共看流星我心永远幸福快乐指尖上的流年花潮贵宾

 楼主| 发表于 2022-2-19 19:37 | 显示全部楼层
毋问我从哪里来 发表于 2022-2-19 19:36
  4年后,巴乔的世界杯名次进了一步,从季军变为亚军,但决赛中射失点球的落寞背影,却成了他一生不愿 ...

  利物浦名帅克洛普说,输掉决赛的痛苦,比没打进决赛大得多。穆里尼奥也说,欧冠决赛对一名主帅意味着太多,而决赛的消极一面就是你可能输掉它,这很难面对。两位名帅说的都是一个意思:亚军之痛。

                               
登录/注册后可看大图
经典电影《沙鸥》
  

  这种痛苦,有时可能变成重新起航的动力。经典电影《沙鸥》中,女排姑娘沙鸥在输掉决赛后痛苦不堪,干脆把银牌丢进大海。后来,她作为教练培养出了新一代队员,并为女排夺冠,一了自己当年的心愿。
  克洛普曾七次打进各项杯赛的决赛,并七次全部输掉,其中欧冠决赛前两次也都失利,但最终他带利物浦在2019年登上欧洲之巅,告别了“银牌之痛”。

回复 支持 反对

使用道具 举报

该用户从未签到

1645

主题

28万

回帖

31万

积分

贵宾

Rank: 7Rank: 7Rank: 7Rank: 7Rank: 7Rank: 7Rank: 7

花潮美女鼠牛虎兔龙蛇马羊猴鸡狗猪春风拂面星星情怀七彩绚丽王者至尊妙笔生花共看流星我心永远幸福快乐指尖上的流年花潮贵宾

 楼主| 发表于 2022-2-19 19:37 | 显示全部楼层
毋问我从哪里来 发表于 2022-2-19 19:37
  利物浦名帅克洛普说,输掉决赛的痛苦,比没打进决赛大得多。穆里尼奥也说,欧冠决赛对一名主帅意味着 ...

  但有的人,却始终那么“倒霉”,难逃千年老二的命。

                               
登录/注册后可看大图
NBAlogo男的六连亚之痛
 


回复 支持 反对

使用道具 举报

该用户从未签到

1645

主题

28万

回帖

31万

积分

贵宾

Rank: 7Rank: 7Rank: 7Rank: 7Rank: 7Rank: 7Rank: 7

花潮美女鼠牛虎兔龙蛇马羊猴鸡狗猪春风拂面星星情怀七彩绚丽王者至尊妙笔生花共看流星我心永远幸福快乐指尖上的流年花潮贵宾

 楼主| 发表于 2022-2-19 19:37 | 显示全部楼层
毋问我从哪里来 发表于 2022-2-19 19:37
  但有的人,却始终那么“倒霉”,难逃千年老二的命。NBAlogo男的六连亚之痛 

  NBA的LOGO形象大家很熟悉了,原型人物杰里-韦斯特,是1960年代湖人队的当家球星,湖人与凯尔特人连续6次在总决赛对阵,全都输了,韦斯特拿了“6连亚”。第6次总决赛,他个人砍下MVP仍无济于事,而且还是抢七大战输的,这得痛苦到什么程度。
  韦斯特一度想到自杀,他回忆说:“每天晚上睡不着,痛苦难以承受,我知道我会一直是失败者,永世不得翻身。”
  这就是银牌和亚军才能理解的痛苦,在距离梦想只差一步的地方跌倒,是最难释怀的事情。
  其实,“反事实思维比较”的概念,不仅适用于奥运奖牌获得者,也适用于日常生活的很多方面。
  在结果无法改变的情况下,像铜牌选手那样“比上不足、比下有余”,大概更利于情绪疏导。

回复 支持 反对

使用道具 举报

该用户从未签到

1645

主题

28万

回帖

31万

积分

贵宾

Rank: 7Rank: 7Rank: 7Rank: 7Rank: 7Rank: 7Rank: 7

花潮美女鼠牛虎兔龙蛇马羊猴鸡狗猪春风拂面星星情怀七彩绚丽王者至尊妙笔生花共看流星我心永远幸福快乐指尖上的流年花潮贵宾

 楼主| 发表于 2022-2-19 19:38 | 显示全部楼层
毋问我从哪里来 发表于 2022-2-19 19:37
  NBA的LOGO形象大家很熟悉了,原型人物杰里-韦斯特,是1960年代湖人队的当家球星,湖人与凯尔特人连续 ...

  对普通人来说,积极争取实现梦想,肯定是必要的,而在心态上,与其过度执着于“差一点就得到的”,不如多想想“已经拥有的”,也许更容易有快乐与平和的心情。

                               
登录/注册后可看大图
傅园慧:铜牌啊?哈哈哈哈!

  (李普利)

回复 支持 反对

使用道具 举报

该用户从未签到

1645

主题

28万

回帖

31万

积分

贵宾

Rank: 7Rank: 7Rank: 7Rank: 7Rank: 7Rank: 7Rank: 7

花潮美女鼠牛虎兔龙蛇马羊猴鸡狗猪春风拂面星星情怀七彩绚丽王者至尊妙笔生花共看流星我心永远幸福快乐指尖上的流年花潮贵宾

 楼主| 发表于 2022-2-19 19:39 | 显示全部楼层
谷爱凌的2金1银有多强 这个维度看她超越了王濛

2022年02月18日 16:22 新浪体育


                               
登录/注册后可看大图

  今天,当谷爱凌摘取自由式滑雪女子U型场地金牌之时,她以2金1银的闪光业绩结束了自己的冬奥首秀。令人不可思议的是,谷爱凌首次参加冬奥会就夺得3枚个人项目奖牌,其中2枚为金牌,超越了王濛创造的单届冬奥会个人项目1金1银1铜的最高纪录。

回复 支持 反对

使用道具 举报

该用户从未签到

1645

主题

28万

回帖

31万

积分

贵宾

Rank: 7Rank: 7Rank: 7Rank: 7Rank: 7Rank: 7Rank: 7

花潮美女鼠牛虎兔龙蛇马羊猴鸡狗猪春风拂面星星情怀七彩绚丽王者至尊妙笔生花共看流星我心永远幸福快乐指尖上的流年花潮贵宾

 楼主| 发表于 2022-2-19 19:39 | 显示全部楼层
毋问我从哪里来 发表于 2022-2-19 19:39
谷爱凌的2金1银有多强 这个维度看她超越了王濛

2022年02月18日 16:22 新浪体育

  此前几届冬奥会,中国军团出现过多位2冠王甚至3冠王。2002年盐湖城冬奥会,杨扬一举夺得短道速滑女子500米、1000米2枚金牌。8年后的温哥华冬奥会,短道速滑国手王濛、周洋分别三夺金牌、两摘桂冠。
  不过,此前在单届冬奥会3次夺得个人项目奖牌的,仅王濛一人,她在2006年都灵冬奥会收获了女子500米金牌、1000米银牌和1500米铜牌,成为中国体育史上第一位在单届冬奥会夺得3枚个人项目奖牌的运动员。

回复 支持 反对

使用道具 举报

该用户从未签到

1645

主题

28万

回帖

31万

积分

贵宾

Rank: 7Rank: 7Rank: 7Rank: 7Rank: 7Rank: 7Rank: 7

花潮美女鼠牛虎兔龙蛇马羊猴鸡狗猪春风拂面星星情怀七彩绚丽王者至尊妙笔生花共看流星我心永远幸福快乐指尖上的流年花潮贵宾

 楼主| 发表于 2022-2-19 19:39 | 显示全部楼层
毋问我从哪里来 发表于 2022-2-19 19:39
  此前几届冬奥会,中国军团出现过多位2冠王甚至3冠王。2002年盐湖城冬奥会,杨扬一举夺得短道速滑女子 ...

  短道速滑男子、女子均各设3项个人项目,王濛项项跻身前三,显示出她拥有十分全面的竞技实力。
  此后3届冬奥会,未有一位国手重演王濛“帽子戏法”式的夺牌方式。直到2022年北京冬奥会,随着超级新秀谷爱凌的脱颖而出,才有第2位国手复制了“王濛纪录”。
  而且,如果比较奖牌的成色,谷爱凌还要超过前辈一筹,王濛是金银铜牌各1枚,“青蛙公主”是2金1银。

回复 支持 反对

使用道具 举报

该用户从未签到

1645

主题

28万

回帖

31万

积分

贵宾

Rank: 7Rank: 7Rank: 7Rank: 7Rank: 7Rank: 7Rank: 7

花潮美女鼠牛虎兔龙蛇马羊猴鸡狗猪春风拂面星星情怀七彩绚丽王者至尊妙笔生花共看流星我心永远幸福快乐指尖上的流年花潮贵宾

 楼主| 发表于 2022-2-19 19:39 | 显示全部楼层
毋问我从哪里来 发表于 2022-2-19 19:39
  短道速滑男子、女子均各设3项个人项目,王濛项项跻身前三,显示出她拥有十分全面的竞技实力。  此 ...

  观察北京冬奥会自由式滑雪项目,谷爱凌是唯一3次登上领奖台的运动员,足见其技术能力的高超和全面。
  自由式滑雪女子U型场地技巧是谷爱凌的最强项,昨天进行的资格赛,全场仅有的2个90+分均由她一人奉献。
  今天上演的自由式滑雪女子U型场地技巧决赛,谷爱凌同样表现出无人可及的驾驭能力,各种动作的连续性和腾空高度,无一不表现出她在该项目拥有的统治力。

回复 支持 反对

使用道具 举报

该用户从未签到

1645

主题

28万

回帖

31万

积分

贵宾

Rank: 7Rank: 7Rank: 7Rank: 7Rank: 7Rank: 7Rank: 7

花潮美女鼠牛虎兔龙蛇马羊猴鸡狗猪春风拂面星星情怀七彩绚丽王者至尊妙笔生花共看流星我心永远幸福快乐指尖上的流年花潮贵宾

 楼主| 发表于 2022-2-19 19:40 | 显示全部楼层
毋问我从哪里来 发表于 2022-2-19 19:39
  观察北京冬奥会自由式滑雪项目,谷爱凌是唯一3次登上领奖台的运动员,足见其技术能力的高超和全面。 ...

  前两轮获得让对手们可望而不可及的93.25分、95.25分,出众实力让她在完成第三轮比赛前,已经将金牌收入自己囊中。
  值得一提的是,谷爱凌的强大不仅仅表现在技术水平方面,她还有强大的心理素质。
  自由式滑雪女子大跳台决赛第3轮,谷爱凌在确保前3名的前提下毅然向金牌发起冲击,她以自己从未尝试过的“左转1620”这一高难度动作冲击金牌,并以完美的表现奇迹般地逆转夺金。

回复 支持 反对

使用道具 举报

您需要登录后才可以回帖 登录 | 立即注册

本版积分规则

小黑屋|手机版|Archiver|服务支持:DZ动力|huachaowang.com Inc. ( 蜀ICP备17032287号-1 )

GMT+8, 2025-12-22 15:34 , Processed in 0.231809 second(s), 21 queries .

Powered by Discuz! X3.4

© 2001-2013 Comsenz Inc.

快速回复 返回顶部 返回列表