花潮论坛

搜索
热搜: 活动 交友 discuz

[时事新闻] 针对美方打压中国媒体驻美机构行为,中方采取反制措施

[复制链接]

该用户从未签到

1644

主题

23万

回帖

26万

积分

版主

Rank: 7Rank: 7Rank: 7Rank: 7Rank: 7Rank: 7Rank: 7

花潮美女鼠牛虎兔龙蛇马羊猴鸡狗猪多彩人生火热情怀优雅迷人缤纷心情蝴蝶情怀心曲飞扬星星情怀七彩绚丽相遇之美花好月圆心香一瓣飞龙在天王者至尊生财有道大将风范天籁妙音妙笔生花共看流星风雨同行我心永远幸福快乐前途似锦花潮版主

 楼主| 发表于 2020-4-3 13:29 | 显示全部楼层
美国几位政客无耻、无德反复造谣中国瞒报 华春莹用10分8秒长篇质问

2020
04/02
16:08
环球网

华春莹表示,关于国际公共卫生安全这样的一类问题,我想最有资格做评判的应该是世卫组织以及有关的传染病学或者疾控专家,而不是几个满嘴谎言的政客。
【环球时报-环球网报道 记者 李司坤 乌元春】在4月2日的外交部例行记者会上,彭博社记者提问,今天有报道称,三名美国情报官员说,中国对这次疫情的情况进行了瞒报,数字也比实际情况要小。他们还说报道称中国提供的那些数字都是假的数字,你对此有何评论?
对此,发言人华春莹回应道,你肯定也很清楚知道:现在一段时期以来,美国媒体对于美国国内这场疫情以及政府应对的看法和有关的报道,我相信你在向我提问的时候,其实心里面是有答案的,你只是希望到我这里来再印证一下。
华春莹说,我也注意到了你提到的报道,包括你提到的所谓三个匿名官员信息的透露,以及我看到有多家美国媒体的报道,4月1日美国副总统彭斯和蓬佩奥等人关于同样类型的这种话都是指责中国刻意隐瞒和造假疫情的信息,甚至还说早在去年12月,世界了解了这一问题之前,中国已经在提前应对了。
中方是否公开、透明、负责任、及时的向国际社会做了通报,有没有隐瞒,我和我的同事已经多次不厌其烦详细地介绍了,大家从中国政府有关部门公布的信息,每天及时定时发布的信息也应该看得很清楚了。
关于国际公共卫生安全这样的一类问题,我想最有资格做评判的应该是世卫组织以及有关的传染病学或者疾控专家,而不是几个满嘴谎言的政客。
华春莹说,就在昨天4月1日,世卫组织在日内瓦的发布会上,有关的负责人还再次驳斥了针对中方数据不透明的无端指责。现在美国国内疫情那么严重,我们非常同情,我也能理解美国国内一些人急于要造锅、甩锅的这样一种心理,我们不想跟他们陷入任何无谓的争论,但是面对这几个人一而再再而三、没有任何道德底线的造谣污蔑,我想我别无选择,还是再浪费一点时间,把事实和真相跟你列举一下。
首先我想说的是大家都知道的,武汉的确是最早公开通报,发现了疫情的地方,但是最早它到底出现在哪里?到底是什么时候?我们注意到近期这方面的发现和有关的报道很多,有意大利的报道,有英国、美国、澳大利亚的一些专家,在包括国际顶级学术刊物上发表了一些论文。关于这些溯源的问题,中国政府的立场是一贯的,这是很严肃的问题,必须要交由专业人士来基于事实作出科学和专业的评判。现在各方的专家都在发表他们的意见,他们的观点也有很多的报道,这些科学权威、专业人士的观点是值得各方,包括美国国内的那些人重视和尊重的。
第二点我想说的是,中方处理疫情的时间表是清清楚楚的,大家都可以从公开的报道上来看见:
2019年12月27日,湖北省中西医结合医院呼吸与重症医学科主任张继先首先上报了她接诊的三个可疑病例;29日,武汉相关的疾控中心和医院开展了流行病学调查;30日,武汉卫健委发布了关于做好不明原因肺炎救治工作的紧急通知;12月31日,国家卫健委专家组抵达武汉开展现场调查。
1月3日,中方开始正式向世卫组织以及包括美国在内的各国及时主动地通报信息,8日初步确定了疫情的病源;11日,中国疾控中心将5条新冠病毒全基因组序列上传网站,同全球和世卫组织共享数据。
1月23日,中国政府采取了关闭离汉通道的空前全面、严格彻底的措施。中国政府采取的措施果断、及时、有力,最大程度地保护了中国人民的生命安全和身体健康,也为阻止疫情在世界的蔓延争取了宝贵时间。
我昨天也介绍过,《科学》杂志刊登了英国、美国科研人员的共同报告,认为中国的防控举措成功打破了病毒传播链,为世界上其他国家采取措施争取了宝贵的时间。我还注意到近期美国的首席医疗科学家福奇表示,他拒绝按照美国国内某些人的要求,说中国应该提前三个月就向世界或者向美国通报疫情,因为那不符合事实。
近日还有著名的医学杂志《柳叶刀》主编也在BBC的节目上明确指出,“中国传递的信息非常清晰,可是我们浪费了整个2月份,这简直就是一场国家丑闻”。
中国已经尽了最大的努力,做到了公开、透明和负责任。美方那几个负责任的人,我想通过彭博社去问他们一下,可不可以让他们站出来告诉世界,如果当初最先发现疫情的国家是美国而不是中国,美方会处理的比中国政府更好吗?如果他们可以,那么请解释一下,从1月15日美国疾控中心发布关于新冠肺炎的警告,到25日美方宣布关闭驻武汉领馆并撤出其人员,再到2月2日,美方对所有中国公民以及过去14天到过中国的外国人关闭边境之后的两个多月里,美方都做了些什么?为什么根据《纽约时报》3月11日的报道,美国一位女医生朱海伦早在1月份就开始对美国国内的疫情“吹哨”,并提出警告,并且在2月份将检测报告结果报告了,美国的监管机构却被下令封口、停止检测?
为什么到了2月底,白宫还要求美国的官员和卫生部门、专家,对疫情公开表态之前,必须要事先得到彭斯副总统办公室的批准?为什么在3月2日的时候,美国疾控中心停止发布与检测人数和死亡人数相关的数据?为什么3月2日美国长老会医院医生麦卡锡在CNBC节目中还表示,他所在的医院甚至要恳求卫生部门为疑似的病人检测?我想有很多的报道,包括彭博社,都在呼吁美国的官员,别再为自己的应对不力去找借口和替罪羊了。
我们理解美方当前的困境和美国某些官员面临的压力。中国人民对于美国人民当前正在遭受的痛苦非常理解,也非常同情。我们愿意本着人道主义的精神,去为美国抗击疫情提供力所能及的帮助和支持。但是这几个美国政客的言论、所作所为实在是无耻、无德。我们多次说过,污蔑、抹黑、甩锅、推责,弥补不了失去的时间,继续撒谎只会浪费更多的时间,造成更多的生命损失。
我也真心诚意想奉劝这几个政客一句,此时此刻作为政治家,他们应该把人民的生命安全和健康置于政治之上,继续政治操弄是极其不道德的,也是极其不人性的,应该遭到包括美国人民在内的世界各国人民的共同谴责。我也想通过你们彭博社,建议他们立即调整工作重点和方向,把全部的心思和精力都放到怎么去抗击疫情,全力抢救美国人民的生命,保障他们的健康上来。
华春莹最后对这位提问记者说,我注意到我刚才讲话的时候,你在频频的点头,所以我想我们在这方面应该是有共识的。我希望你们能够把我们的声音如实、全面,而且尽可能多的传递给美国人民,包括这几个你提到的不断在诋毁抹黑中国的人,我也先代表中国人民谢谢你。

该用户从未签到

1644

主题

23万

回帖

26万

积分

版主

Rank: 7Rank: 7Rank: 7Rank: 7Rank: 7Rank: 7Rank: 7

花潮美女鼠牛虎兔龙蛇马羊猴鸡狗猪多彩人生火热情怀优雅迷人缤纷心情蝴蝶情怀心曲飞扬星星情怀七彩绚丽相遇之美花好月圆心香一瓣飞龙在天王者至尊生财有道大将风范天籁妙音妙笔生花共看流星风雨同行我心永远幸福快乐前途似锦花潮版主

 楼主| 发表于 2020-4-3 17:55 | 显示全部楼层
胡锡进:他们诬称中国“隐瞒了死亡人数”,这样的舆论战何其无耻!

2020年04月02日 00:17 环球网

  原标题:他们诬称中国“隐瞒了死亡人数”,这样的舆论战何其无耻!
  随着美国等西方国家死于新冠肺炎的人数激增,质疑中国在这场疫情中到底死了多少人的声音多了起来。宣称中国“隐瞒了死亡人数”,可以很大程度上减轻有些西方国家抗疫不力的道义责任,分散人们对那些国家不该死那么多人的注意力,将之转移到“不该隐瞒实际死亡人数”上。
  结果就是一些人可以制造这样的一个邪恶逻辑:美国等西方国家人死得多没关系,只要诚实通报出来就好,真正该追究的是“对死亡人数进行瞒报的中国”,中国之“不义”反而让预测美国有可能死亡“10万至20万人”变得有情有理了。

                               
登录/注册后可看大图
胡锡进微博截图

  这样的舆论操作何其恶毒、无耻。
  中国能对新冠肺炎死亡人数搞大规模造假?那些人的逻辑是,中国什么假不能造啊?亩产万斤不都能上报纸吗?最早谈论疫情的人不是受到了训诫吗?况且还有很多骨灰盒摆放在一起的照片。那些人还振振有词:请官方拿出死亡数字是3305而不是更多的证据来啊。我看到中国驻法国大使卢沙野对外媒做了很详细的说明,但我相信,那些外媒不会就此止步。
  今天抛一个质疑,如果你回应了就在你的回应中再挑出一个质疑,然后可以对你的继续回应再找出新的质疑,非得搞得你越抹越黑不可。老胡管这叫舆论场上永恒的“质疑定律”。几天前一个人在网上要我回答中国到底这次死了多少人,我说,你可能嫌3000多人死得太少,那你说死多少或者你希望死多少就是多少吧。
  官方的数字很明确,他们非不相信,那么我的选择是,请他们拿出死了更多人的证据。西方媒体各种调查的力量很强,希望他们拿出准确的证据,无懈可击。别累武汉市和湖北省了,累累西媒和那些人吧。
  我要对善良的普通读者说,千万别听信那些“中国什么假数据都能造”的胡扯。老胡一直在体制中工作,我很清楚,在今天的中国,尤其是面临此次抗疫这么重大、不仅全国而且举世瞩目的事件,搞严重的数据造假是决没有空间、也无法操作的。
  请大家想一想,要搞一个虚假的死亡数据,需要什么机构来部署,谁来执行?全国的数据汇集起来,牵涉到很多的地方、机构。负责统计和发布的机构编一次假的,就要不停地编下去,中间多么容易穿帮、露馅儿,又是多么危险的事情。
  那样做的目的是什么?谁能有好处?而发布造假命令和执行造假者(如果那样干,显然一两个人完成不了)的风险又该有多高?他们彼此能有这样的信任吗?早晚有一天事情败露,要蹲多少年大牢?你就是一个公务员,挣一份工资,如果有人把你和几个人叫到一起密谋,要求你们向全国人民公布虚假的疫情死亡数据,你会干吗?如果你不会干,你怎么能相信有很多别的傻冒会愿意那样干呢?
  那样干的人吃了豹子胆?他们天天那样干,回家还能睡得着觉?需要有什么样的物质刺激胆量冒天下之大不韪,才能把人推向这样的铤而走险呢?

  结果是,被他们所说精心炮制的“弥天大谎”,居然通过领骨灰就被戳破了,因为殡仪馆摆了很多骨灰盒。武汉不光有新冠肺炎的死亡者,几个月下来,其他原因的死亡者肯定更多。这样的质疑也能够认真?这都是什么无厘头、乱七八糟的东西。
  这几天欧洲与湖北省人口差不多的国家单日死亡人数很多达到了二三百、四五百、甚至七八百,而湖北省高峰时期单日死亡人数是一百多。知道湖北省为什么死的人比那些国家少吗?那是因为全中国向湖北派去了5万名医疗工作者,全国的大量物资也都集中到了那里。国家成功地分出了湖北战场和全国战场,在迅速控制了全国战场后,举整个国家之力开展了围歼病毒的湖北保卫战,从而挽救了无数生命。欧美国家的悲剧在于,它们谁也做不到获得湖北在危急关头所得到的来自全中国的倾力支持。羡慕嫉妒可以,但请不要恨。
  来源:胡锡进微博

该用户从未签到

1644

主题

23万

回帖

26万

积分

版主

Rank: 7Rank: 7Rank: 7Rank: 7Rank: 7Rank: 7Rank: 7

花潮美女鼠牛虎兔龙蛇马羊猴鸡狗猪多彩人生火热情怀优雅迷人缤纷心情蝴蝶情怀心曲飞扬星星情怀七彩绚丽相遇之美花好月圆心香一瓣飞龙在天王者至尊生财有道大将风范天籁妙音妙笔生花共看流星风雨同行我心永远幸福快乐前途似锦花潮版主

 楼主| 发表于 2020-4-7 19:58 | 显示全部楼层
巴西高官将新冠病毒源头同中国挂钩 中国使馆发言人:荒谬可耻

2020
04/07
03:00
央视新闻客户端

中国驻巴西使馆发言人:巴西教育部长温特劳布不顾中方多次交涉表明的立场,在社交媒体公然发表污蔑中国的言论,将新冠肺炎疫情病毒源头同中国挂钩,对中国进行污名化攻击。温特劳布发表此番言论系蓄意而为,荒谬可耻,带有强烈种族歧视色彩,意在达到不可告人的目的。
当地时间4月5日,中国驻巴西使馆发言人就当日巴教育部长温特劳布在社交媒体公然污蔑中国发表谈话。全文内容如下:

4月5日,巴西教育部长温特劳布不顾中方多次交涉表明的立场,在社交媒体公然发表污蔑中国的言论,将新冠肺炎疫情病毒源头同中国挂钩,对中国进行污名化攻击。温发表此番言论系蓄意而为,荒谬可耻,带有强烈种族歧视色彩,意在达到不可告人的目的,对中巴两国关系健康发展产生了不利影响。中方对此表示强烈愤慨和坚决反对。

当前,新冠肺炎疫情正在全球蔓延,没有一个国家能够单独应对疫情挑战。当务之急是各国积极开展国际抗疫合作,争取早日在全球范围内结束疫情,维护国际公共安全卫生和人类福祉。世界卫生组织和国际社会明确反对将病毒同特定国家和地区相联系,反对借此搞污名化。我们敦促巴方个别人士立即纠正错误,停止对华无端指责。

日前,针对巴西个别媒体人员发文攻击中国及某些政客发表针对中国的不负责任言论,中国驻里约热内卢总领事李杨两次投书巴西主流媒体予以回击。(总台记者 廖军华)

该用户从未签到

1644

主题

23万

回帖

26万

积分

版主

Rank: 7Rank: 7Rank: 7Rank: 7Rank: 7Rank: 7Rank: 7

花潮美女鼠牛虎兔龙蛇马羊猴鸡狗猪多彩人生火热情怀优雅迷人缤纷心情蝴蝶情怀心曲飞扬星星情怀七彩绚丽相遇之美花好月圆心香一瓣飞龙在天王者至尊生财有道大将风范天籁妙音妙笔生花共看流星风雨同行我心永远幸福快乐前途似锦花潮版主

 楼主| 发表于 2020-4-7 20:35 | 显示全部楼层
驻在平安夜前夕 发表于 2020-4-7 19:58
巴西高官将新冠病毒源头同中国挂钩 中国使馆发言人:荒谬可耻

2020

环球时报社评:挑战刚开个头,前方或有更大风浪

2020
04/06
22:56
环球网


新冠疫情必将严重冲击世界秩序和国际格局,导致一系列动荡甚至失控的出现。极端民族主义和民粹主义会有更多大爆发的机会,中国有可能成为美国等西方国家转移国内失望和愤怒的头号标靶。冲动和不理性将在西方世界代替应有的反思,中国或面临比疫前严重得多的国际政治风险。
新冠肺炎引发的危机很可能刚刚开个头,接下来还会有从疫情到国际政治领域更多也更严峻的挑战。作为最早走出疫情危急状态的大国,中国接下来将会面对极其复杂的局面,我们需要在精神和物质上做好充分准备,积极应对,处变不惊。
疫情看来不会很快结束。现在它已在全世界传开,疫情的震中不断移动,而且一些与人类密切接触的动物正在成为病毒的新宿主。新冠病毒很可能会对人类社会反复冲击,它大概只能被控制,却短时间里无法消灭。
中国的感染人数和死亡人数与欧美比起来总数和比例都是低的了,中国实践了真正的人道主义。但是如果疫情长期流行,这一轮感染比例和死亡人数高的欧美社会就可能形成一定的适应性,那时的抗疫格局亦可能出现新变化。中国必须加快疫苗和特效药的研制,赢得与病毒的下一阶段赛跑。
中国的复工复产与抗疫的关系需要动态调整。在疫情主要集中在中国的时候,随着情况的缓解,我们的任务就应是全面恢复经济,使之达到疫情暴发前的水平,甚至出现弥补性反弹。但是随着欧美整体陷落,全球经济衰退已成定局,世界经济格局前所未有动荡,中国复工复产的条件出现紊乱,该如何把握,也面临了新的公共卫生及国际政治场景。
我们认为,此时复工复产应当有两大目标,一是确保中国经济整体上运转起来,减少企业倒闭,最大限度地保障就业,进而维系所有国民的正常生活能力。二是要让中国的经济恢复水平处在全球主要国家的最高之列,从而维护中国的全球制造业中心地位,牢牢掌握国家的战略主动权。
新冠疫情必将严重冲击世界秩序和国际格局,导致一系列动荡甚至失控的出现。极端民族主义和民粹主义会有更多大爆发的机会,中国有可能成为美国等西方国家转移国内失望和愤怒的头号标靶。冲动和不理性将在西方世界代替应有的反思,中国或面临比疫前严重得多的国际政治风险。
中国现在就要针对发生剧烈冲突的风险开展全面准备,尤其是强化能够震慑挑战者、迫使他们冷静下来的战略工具。我们要有清醒的意识:时间非常紧迫。
在中国国内,最重要的工作是提高社会的真实团结和凝聚力,它们需要经得起前所未有的高压而不被瓦解。这次危机所表现出来的公众大的不满一个都不能忽视,要切实解决或改善相关问题,解开疫情暴发以来老百姓的心结,使得官民同心同德、社会各界凝心聚力更加牢不可破。
要看到,全球疫情格局出乎意料的变化不断刷新了中国人对这场疫情的认识和对国家抗疫的评价,中国处在实事求是解决问题以及塑造共识和信心非常有利的位置上。前方虽然有巨大不确定性,但中国作为已经控制住疫情、国民经济各个行业最为齐全且政治和经济紧急动员力都很强的国家,完全有能力战胜那些挑战,维护战略安全,确保中国人民的利益不被侵犯。

该用户从未签到

1644

主题

23万

回帖

26万

积分

版主

Rank: 7Rank: 7Rank: 7Rank: 7Rank: 7Rank: 7Rank: 7

花潮美女鼠牛虎兔龙蛇马羊猴鸡狗猪多彩人生火热情怀优雅迷人缤纷心情蝴蝶情怀心曲飞扬星星情怀七彩绚丽相遇之美花好月圆心香一瓣飞龙在天王者至尊生财有道大将风范天籁妙音妙笔生花共看流星风雨同行我心永远幸福快乐前途似锦花潮版主

 楼主| 发表于 2020-4-11 19:05 | 显示全部楼层
英国向中国索赔3510亿英镑?美国律所起诉中国索赔数十亿美元!权威专家回应来了

2020-04-08 07:24 和讯网

近日,英国智库亨利·杰克逊学会在一份报告中宣称,新冠病毒已在全球感染超过100万人,这给包括英国、美国和日本在内的七国集团(G7)造成约3.2万亿英镑的巨大损失,而“此前试图隐瞒疫情信息”的中国本可以减轻新冠病毒在全球范围内的经济影响。该学会声称,“中国违反《国际卫生条例》,对新冠病毒扩散负有责任”,如果通过法律途径对中国提起诉讼,英国的索赔额可高达 3510亿英镑。该报告还列举了10种对中国提起诉讼的法律途径,涉及国际法院和常设仲裁法院、世界贸易组织、双边投资条约以及《联合国海洋法公约》等。



                               
登录/注册后可看大图



该用户从未签到

1644

主题

23万

回帖

26万

积分

版主

Rank: 7Rank: 7Rank: 7Rank: 7Rank: 7Rank: 7Rank: 7

花潮美女鼠牛虎兔龙蛇马羊猴鸡狗猪多彩人生火热情怀优雅迷人缤纷心情蝴蝶情怀心曲飞扬星星情怀七彩绚丽相遇之美花好月圆心香一瓣飞龙在天王者至尊生财有道大将风范天籁妙音妙笔生花共看流星风雨同行我心永远幸福快乐前途似锦花潮版主

 楼主| 发表于 2020-4-11 19:05 | 显示全部楼层
驻在平安夜前夕 发表于 2020-4-11 19:05
英国向中国索赔3510亿英镑?美国律所起诉中国索赔数十亿美元!权威专家回应来了

2020-04-08 07:24 和讯 ...

与此同时,《印度论坛报》5日报道称,全印律师协会和国际法学家委员会已向联合国人权理事会申诉,公然宣称“中国秘密开发能大规模摧毁人类的生物武器”,要求联合国人权理事会介入此事,使中国能够对国际社会和联合国成员国作出赔偿,尤其是印度。全印律师协会主席兼国际法学家委员会主席阿迪什·C·阿加瓦拉在申诉书中声称,“新冠病毒是武汉病毒研究所开发出来的生物武器,旨在使世界主要国家瘫痪,让中国成为唯一受益者”,违反了《国际卫生条例》、国际人权公约等规定。

美国一律所起诉中国索赔数十亿美元

据美国《棕榈滩邮报》14日报道,佛罗里达州棕榈滩县博卡拉顿市一家名为“伯曼律师团队”的律师事务所13日宣称对中国政府发起集体诉讼,要求中国政府赔偿数十亿美元。


                               
登录/注册后可看大图


该用户从未签到

1644

主题

23万

回帖

26万

积分

版主

Rank: 7Rank: 7Rank: 7Rank: 7Rank: 7Rank: 7Rank: 7

花潮美女鼠牛虎兔龙蛇马羊猴鸡狗猪多彩人生火热情怀优雅迷人缤纷心情蝴蝶情怀心曲飞扬星星情怀七彩绚丽相遇之美花好月圆心香一瓣飞龙在天王者至尊生财有道大将风范天籁妙音妙笔生花共看流星风雨同行我心永远幸福快乐前途似锦花潮版主

 楼主| 发表于 2020-4-11 19:06 | 显示全部楼层
驻在平安夜前夕 发表于 2020-4-11 19:05
与此同时,《印度论坛报》5日报道称,全印律师协会和国际法学家委员会已向联合国人权理事会申诉,公然宣 ...

这家律所在起诉书中称,“中国政府知道新冠肺炎疫情危险且可能导致全球大流行,但行动缓慢、逃避问题,还为了自身经济利益掩盖疫情”。起诉书要求中国政府为新冠肺炎疫情“负责”并“赔偿数十亿美元”,声称“虽然中国阻止了新冠病毒的早期扩散,但未能完全遏制该病毒”。

起诉书中未明确说明数十亿美元的赔偿是如何计算得来。该诉讼目前有5个原告,由4人和一家公司组成,公司老板是4人之一。4人中无人感染新冠肺炎。报道称,该律所正寻求任何感染新冠肺炎或受疫情影响的美国人加入他们,以达成集体诉讼的目的。

据环球时报,自从一些美国议员巧立名目提出向中国“追责”后,个别国家的政客和组织也开始跟风蹭热点、博眼球。

毛俊响6日接受《环球时报》记者采访时批评说,此前并未有因新发传染病而引起的国际诉讼,个别国家目前出现针对中国的声音,很大程度上是为了“甩锅”。对于印度方面提出的申诉,他说:“那不是一份严谨的法律文书,关键事实证据竟来源于媒体报道,对行为和损害因果关系的分析毫无逻辑可言。”毛俊响还强调,人权理事会没有职权在申诉案件中作出要求所涉国家赔偿受害人的实体性决定,该组织是一个政治机构而非司法机构。

欧美政客造大锅,待疫情后和中国“清算”

“这些人试图制造出一只世界上最大的锅来甩给中国,让中国成为最大的替罪羊。但是这个锅太大了,对不起,他们甩不出去了。”3月31日的外交部例行记者会上,发言人华春莹如是说。


该用户从未签到

1644

主题

23万

回帖

26万

积分

版主

Rank: 7Rank: 7Rank: 7Rank: 7Rank: 7Rank: 7Rank: 7

花潮美女鼠牛虎兔龙蛇马羊猴鸡狗猪多彩人生火热情怀优雅迷人缤纷心情蝴蝶情怀心曲飞扬星星情怀七彩绚丽相遇之美花好月圆心香一瓣飞龙在天王者至尊生财有道大将风范天籁妙音妙笔生花共看流星风雨同行我心永远幸福快乐前途似锦花潮版主

 楼主| 发表于 2020-4-11 19:06 | 显示全部楼层
驻在平安夜前夕 发表于 2020-4-11 19:06
这家律所在起诉书中称,“中国政府知道新冠肺炎疫情危险且可能导致全球大流行,但行动缓慢、逃避问题,还 ...


                               
登录/注册后可看大图


发布会上,有记者问,一些欧美国家的政客指责中国“隐瞒实际感染数量、传播新冠肺炎疫情的不实信息”,还声称疫情结束后会和中国“清算”,请问发言人对此有何评论?

华春莹表示,当前新冠肺炎疫情在世界范围蔓延和扩散,特别是欧美一些国家形势严峻,各国人民都在一致呼吁要加强团结和合作,共同应对疫情。但是与此同时,有一些人不时发出一些刺耳的声音,跟当前团结抗疫的气氛十分不和谐。


该用户从未签到

1644

主题

23万

回帖

26万

积分

版主

Rank: 7Rank: 7Rank: 7Rank: 7Rank: 7Rank: 7Rank: 7

花潮美女鼠牛虎兔龙蛇马羊猴鸡狗猪多彩人生火热情怀优雅迷人缤纷心情蝴蝶情怀心曲飞扬星星情怀七彩绚丽相遇之美花好月圆心香一瓣飞龙在天王者至尊生财有道大将风范天籁妙音妙笔生花共看流星风雨同行我心永远幸福快乐前途似锦花潮版主

 楼主| 发表于 2020-4-11 19:07 | 显示全部楼层
驻在平安夜前夕 发表于 2020-4-11 19:06
发布会上,有记者问,一些欧美国家的政客指责中国“隐瞒实际感染数量、传播新冠肺炎疫情的不实信息” ...

她再次澄清抗疫工作的时间线:1月3日起,中方就已开始正式、定期与美国分享通报有关信息。1月7日,美国疾控中心和美国驻华使馆就已发出武汉旅行警告;1月25日美方就宣布关闭武汉领馆;2月2日,美国针对所有中国公民和过去14天内到访中国的外国人关闭边境。

“这么多天过去了,美方还有人在叫嚣,让中国为美国的疫情负责,他们难道不心虚、不愧疚吗?”华春莹说,“这些人试图制造出一只世界上最大的锅来甩给中国,让中国成为最大的替罪羊。但是这个锅太大了,对不起,他们甩不出去了。”

华春莹表示,这次的疫情是一面“照妖镜”,人心的善恶、品行的高低尽显其中、一览无余。病毒不讲意识形态,也不分国家和种族,面对疫情,污蔑、攻击、甩锅和推责都弥补不了失去的时间。各国命运与共,唯有加强团结与合作才能够尽快地战胜疫情。

中国使世界耽误6周时间?信口雌黄不值一驳

发布会上,有记者问:据报道,美国白宫国家贸易和制造业政策办公室主任纳瓦罗在接受采访时称,中国12月中旬已出现新冠肺炎人传人疫情,中方隐瞒疫情使世界耽误了6周时间。中方有何回应?

华春莹表示,这个美国政客信口雌黄,不值一驳,连当时采访他的美国记者都打断了他的话,说他是在“浪费时间”。

事实上,新冠肺炎疫情发生以来,中方始终本着公开、透明、负责任的态度,及时向世卫组织以及国际社会通报疫情信息,包括第一时间分享病毒基因序列。中方还积极地回应各方关切,开展国际合作,并且向一些国家提供帮助。


该用户从未签到

1644

主题

23万

回帖

26万

积分

版主

Rank: 7Rank: 7Rank: 7Rank: 7Rank: 7Rank: 7Rank: 7

花潮美女鼠牛虎兔龙蛇马羊猴鸡狗猪多彩人生火热情怀优雅迷人缤纷心情蝴蝶情怀心曲飞扬星星情怀七彩绚丽相遇之美花好月圆心香一瓣飞龙在天王者至尊生财有道大将风范天籁妙音妙笔生花共看流星风雨同行我心永远幸福快乐前途似锦花潮版主

 楼主| 发表于 2020-4-11 19:07 | 显示全部楼层
驻在平安夜前夕 发表于 2020-4-11 19:07
她再次澄清抗疫工作的时间线:1月3日起,中方就已开始正式、定期与美国分享通报有关信息。1月7日,美国疾 ...

华春莹指出,中国人民作出了巨大的牺牲,为全球抗疫赢得了宝贵时间。中方自1月初就开始向世卫组织和包括美国在内的各国定期通报疫情信息,何来“耽误6周”之说?这个美国政客的目的何在?他无非就是想把水搅浑,转嫁责任,破坏中美抗疫合作,破坏全球抗疫合作,任何有是非观念、有正义感的人,都不会上他的当。

美国国务卿蓬佩奥指责中国刻意隐瞒和造假疫情 华春莹犀利反击6连问

在4月2日的外交部例行记者会上,针对近日美国副总统彭斯、美国国务卿蓬佩奥指责中国刻意隐瞒和造假疫情的言论,发言人华春莹用近9分钟的时间进行回应。

华春莹表示,中国已经尽了最大努力做到了公开、透明和负责任,那么美方那几个指责中国的人,可不可以请他们站出来告诉世界,如果当初最先发现疫情的国家是美国而不是中国,美方会处理得比中方更好吗?如果他们可以,那么请解释:

从1月15日美国疾控中心发布关于新冠肺炎的警告,到25日美方宣布关闭驻武汉领馆并撤出其人员,再到2月2日美方对所有中国公民以及过去14天到过中国的外国人关闭边境,之后这两个多月里美方都做了些什么?

为什么根据《纽约时报》3月11日的报道,美国一位女医生朱海伦早在1月份就开始对美国国内疫情“吹哨”并提出警告,并且在2月份将检测结果报告了美国监管机构,却被下令封口、停止检测?

为什么2月底白宫要求美国官员和卫生部门专家就疫情公开表态前必先得到彭斯副总统办公室的批准?

为什么3月2日美国疾控中心停止发布与检测人数和死亡人数相关的数据?

为什么3月2日美国长老会医院医生麦卡锡在CNBC节目中表示,他所在的医院甚至要恳求卫生部门为疑似病人检测?


该用户从未签到

1644

主题

23万

回帖

26万

积分

版主

Rank: 7Rank: 7Rank: 7Rank: 7Rank: 7Rank: 7Rank: 7

花潮美女鼠牛虎兔龙蛇马羊猴鸡狗猪多彩人生火热情怀优雅迷人缤纷心情蝴蝶情怀心曲飞扬星星情怀七彩绚丽相遇之美花好月圆心香一瓣飞龙在天王者至尊生财有道大将风范天籁妙音妙笔生花共看流星风雨同行我心永远幸福快乐前途似锦花潮版主

 楼主| 发表于 2020-4-11 19:07 | 显示全部楼层
驻在平安夜前夕 发表于 2020-4-11 19:07
华春莹指出,中国人民作出了巨大的牺牲,为全球抗疫赢得了宝贵时间。中方自1月初就开始向世卫组织和包括 ...


                               
登录/注册后可看大图


华春莹表示,我想有很多媒体,包括彭博社,你们都在呼吁美国的官员,别再为自己的应对不力去找借口和“替罪羊”了。我们理解美方当前的困境和美国某些官员面临的压力。中国人民对于美国人民当前正在遭受的痛苦非常理解,也非常同情。我们愿意本着人道主义的精神,去为美国抗击疫情提供力所能及的帮助和支持,但是这几个美国政客的言论和所作所为实在是无耻、无德。我们多次说过,污蔑抹黑,甩“锅”推责弥补不了失去的时间,继续撒谎只会浪费更多的时间,造成更多生命的损失。

来源:环球时报、外交部


该用户从未签到

1644

主题

23万

回帖

26万

积分

版主

Rank: 7Rank: 7Rank: 7Rank: 7Rank: 7Rank: 7Rank: 7

花潮美女鼠牛虎兔龙蛇马羊猴鸡狗猪多彩人生火热情怀优雅迷人缤纷心情蝴蝶情怀心曲飞扬星星情怀七彩绚丽相遇之美花好月圆心香一瓣飞龙在天王者至尊生财有道大将风范天籁妙音妙笔生花共看流星风雨同行我心永远幸福快乐前途似锦花潮版主

 楼主| 发表于 2020-4-14 11:37 | 显示全部楼层
美方称中国抗疫对非洲人有歧视性做法 外交部回应

2020
04/13
15:57
海外网

赵立坚表示,中方注意到美国国务院发言人的表态。在当前国际社会亟需团结抗疫的形势下,美方妄言耸听、挑拨是非,既不道德,更不负责任。我们奉劝美方还是把精力放在本国疫情防控上,企图借机挑拨中非友好关系不可能得逞。
来源:北京日报
4月13日,外交部发言人赵立坚主持例行记者会。
有记者提问:美国国务院发言人11日称,广东等地在新冠肺炎情防控过程中,出现了针对非洲人的歧视性做法,中国对非洲的排外情绪令人遗憾却不令人意外。只要看看中国在非洲参与的项目,都会看到这种虐待、操纵行为。中国对非洲的承诺从未兑现过。中国在疫情期间如此对待他们尤其是学生,这清楚反映出中国与非洲所谓“伙伴关系”的实质。中方对此有何回应?

                               
登录/注册后可看大图
赵立坚表示,中方注意到美国国务院发言人的表态。在当前国际社会亟需团结抗疫的形势下,美方妄言耸听、挑拨是非,既不道德,更不负责任。我们奉劝美方还是把精力放在本国疫情防控上,企图借机挑拨中非友好关系不可能得逞。
赵立坚指出,中国政府在疫情防控过程中,高度重视保障外国在华人员的生命健康安全,对所有外国在华人员一视同仁,反对任何针对特定人群的差异性做法。中国和非洲一直是好朋友、好伙伴、好兄弟。在中国人民抗击疫情的关键时刻,非洲国家和人民给予有力声援和支持。在非洲疫情日趋严峻的形势下,中国从政府到民间都积极行动,紧急驰援非洲,得到非洲国家和人民的高度评价。中国对非友好的政策没有任何改变,非洲国家和人民对华友好的感情也不会有任何动摇。
赵立坚强调,我们不会对非洲兄弟搞歧视。事实上,前期中国疫情严重的时候,非洲在湖北和武汉的3000多名留学生除1人感染并被很快治愈外,其他人都安然无恙。针对近期非方反映的非洲国家在粤公民的关切,广东方面已经进行梳理排査,并采取了一系列新的举措。相信经过中非双方共同努力,事情将得到妥善解决。(记者 刘柳)

该用户从未签到

1644

主题

23万

回帖

26万

积分

版主

Rank: 7Rank: 7Rank: 7Rank: 7Rank: 7Rank: 7Rank: 7

花潮美女鼠牛虎兔龙蛇马羊猴鸡狗猪多彩人生火热情怀优雅迷人缤纷心情蝴蝶情怀心曲飞扬星星情怀七彩绚丽相遇之美花好月圆心香一瓣飞龙在天王者至尊生财有道大将风范天籁妙音妙笔生花共看流星风雨同行我心永远幸福快乐前途似锦花潮版主

 楼主| 发表于 2020-4-15 23:06 | 显示全部楼层
中美发言人再次隔空交锋!

2020年04月13日 18:24 环球网

  原标题:中美发言人再次隔空交锋!

  13日举行的外交部例行记者会上,有记者提问说,美国国务院发言人11日称,广东等地在新冠肺炎疫情防控过程中,出现了针对非洲人的歧视性做法,中国对非洲的排外情绪令人遗憾,却不令人意外;中国对非洲的承诺从未兑现过,中国在疫情期间如此对待他们,尤其是学生,这清楚反映出中国与非洲所谓伙伴关系的实质。请问中方对此有何回应?


                               
登录/注册后可看大图
赵立坚 资料图

  对此,外交部发言人赵立坚表示,在当前国际社会急需团结抗疫的形势下,美方妄言耸听、挑拨是非,既不道德,更不负责任。“我们奉劝美方还是把精力放在本国疫情防控上,企图借机挑拨中非友好关系,不可能得逞。”

  赵立坚表示,中国政府在疫情防控过程中,高度重视保障外国在华人员的生命健康安全,对所有外国在华人员一视同仁,反对任何针对特定人群的差异性做法。“中国和非洲一直是好朋友、好伙伴、好兄弟,在中国人民抗击疫情的关键时刻,非洲国家和人民给予我们有力的声援和支持。”

  他说,在非洲疫情日趋严峻的形势下,中国从政府到民间都积极行动,紧急驰援非洲,得到非洲国家和人民的高度评价。中国对非友好的政策没有任何改变,非洲国家和人民对华友好的感情也不会有任何动摇。“我们不会对非洲兄弟搞歧视,事实上前期中国疫情严重的时候,非洲在湖北和武汉的3000多名留学生,除一人感染并被很快治愈外,其他人都安然无恙。”

  赵立坚最后表示,针对近期非方反映的对非洲国家在华公民的关切,广东方面已经进行梳理排查,并采取了一系列新的举措。“相信经过中非双方共同努力,事情将得到妥善的解决。”


该用户从未签到

1644

主题

23万

回帖

26万

积分

版主

Rank: 7Rank: 7Rank: 7Rank: 7Rank: 7Rank: 7Rank: 7

花潮美女鼠牛虎兔龙蛇马羊猴鸡狗猪多彩人生火热情怀优雅迷人缤纷心情蝴蝶情怀心曲飞扬星星情怀七彩绚丽相遇之美花好月圆心香一瓣飞龙在天王者至尊生财有道大将风范天籁妙音妙笔生花共看流星风雨同行我心永远幸福快乐前途似锦花潮版主

 楼主| 发表于 2020-4-15 23:06 | 显示全部楼层
驻在平安夜前夕 发表于 2020-4-15 23:06
中美发言人再次隔空交锋!

2020年04月13日 18:24 环球网

  番外

  非洲人在中国受到不公平待遇?国家卫健委回应

  4月13日,国务院联防联控机制召开新闻发布会,介绍依法防控境外疫情输入工作情况。

  有外国记者提问,最近多国大使写信给中方,提出一些非洲人在中国受到不公平待遇,对这个情况,中方有什么回应?


                               
登录/注册后可看大图


  国家卫生健康委疾控局监察专员王斌说,据我了解,广东省和其他省采取的防输入措施是一样的,对入境人员采取14天集中隔离的措施,对入境人员的密接者也采取比较严格的管理措施。

  她说,这样的情况不仅仅取决于中国疫情防控形势,还取决于中国境外其他国家的疫情发展状况,“外国朋友如果想回到自己的国家,首先判断中国境外自己国家疫情发展的情况,自己做出选择”。

  她说,在中国的政策范围内,目前无论中国还是外国人,采取的防控措施都是一视同仁的。

  “中国有中国的法律,只要在中华人民共和国境内,无论中国还是外国人,我们采取的各项检疫、防控等措施都是一视同仁的。”


该用户从未签到

1644

主题

23万

回帖

26万

积分

版主

Rank: 7Rank: 7Rank: 7Rank: 7Rank: 7Rank: 7Rank: 7

花潮美女鼠牛虎兔龙蛇马羊猴鸡狗猪多彩人生火热情怀优雅迷人缤纷心情蝴蝶情怀心曲飞扬星星情怀七彩绚丽相遇之美花好月圆心香一瓣飞龙在天王者至尊生财有道大将风范天籁妙音妙笔生花共看流星风雨同行我心永远幸福快乐前途似锦花潮版主

 楼主| 发表于 2020-4-16 09:50 | 显示全部楼层
赵立坚怼美议员:美国都退出了还反对?荒谬至极!

2020年04月13日 16:58 北京日报客户端

  原标题:您都退出了还反对?荒谬至极!


                               
登录/注册后可看大图



  4月13日,外交部发言人赵立坚主持例行记者会。

  有记者提问:据报道,7名美国共和党参议员7日致函联合国秘书长古特雷斯,反对中国常驻日内瓦代表团公使蒋端当选联合国人权理事会咨询小组成员,称中国在处理新冠肺炎疫情时“蓄意欺骗”、在新疆“践踏人权”,中国政府官员不应该在人权理事会占有如此重要的职位,要求古特雷斯进行干预,暂停对蒋的任命。中方对此有何评论?


                               
登录/注册后可看大图
赵立坚资料图

  赵立坚表示,中方一贯积极参与联合国人权理事会等多边人权机构工作,中国常驻日内瓦代表团公使蒋端当选联合国人权理事会2020年咨询小组亚太成员,再次彰显了国际社会对中国人权事业发展成就和积极参与国际人权交流与合作的肯定。

  赵立坚指出,美国自身人权状况劣迹斑斑,已经退出了人权理事会,个别美国反华议员却干预联合国机构选举规则,对理事会事务和他国人权状况指手画脚、横加干涉,这简直是荒谬至极。

  赵立坚奉劝这些议员,把心思放在解决美国国内存在的种族歧视、枪支泛滥、侵犯移民儿童权利等人权问题上,停止借新冠肺炎疫情问题搞政治操弄,与包括中国在内的国际社会一道推进抗疫合作,以实际行动促进美国人民的人权和福祉。

  记者会上,还有记者问道:据报道,12日,俄罗斯外交部在脸书上称,部分国家试图将其国内疫情恶化责任转移给其他国家的做法令人担忧,包括美国领导层近期对世卫组织的高调批评,美方相关立场非建设性、不合时宜且适得其反。在本次疫情发生各阶段,世卫组织均在其职权范围内严格按照会员国指导方针和现有科学数据采取行动。中方对此有何评论?


  赵立坚回应称,俄方立场客观、公允,中方对此表示赞赏。中方多次说过,面对新冠肺炎疫情给人类带来的严重威胁,国际社会只有树立人类命运共同体理念,团结合作、携手应对,才能战而胜之。各国应该超越意识形态异同,摆脱各种无端指责和猜忌,尤其是要避免将抗疫合作政治化及甩锅、推责、转嫁矛盾的做法。

  赵立坚指出,疫情发生以来,世界卫生组织秉持客观科学公正立场,积极履行自身职责,为协助各国应对疫情、推动国际抗疫合作发挥了重要作用。近期,联合国秘书长及许多国家领导人和国际组织负责人都对世卫组织表示了支持。日前,联合国大会协商一致通过决议,肯定世卫组织作用。前不久召开的二十国集团领导人特别峰会发表声明强调,完全支持并承诺进一步增强世界卫生组织在协调国际抗疫行动方面的职责,这体现了国际社会的普遍立场。

  赵立坚强调,当前,疫情正在全球蔓延,国际社会应凝聚力量、团结协作,战胜新冠病毒这一共同敌人。中方愿继续同包括俄方在内的国际社会一道,支持世卫组织在全球抗疫合作中继续发挥领导作用。


该用户从未签到

1644

主题

23万

回帖

26万

积分

版主

Rank: 7Rank: 7Rank: 7Rank: 7Rank: 7Rank: 7Rank: 7

花潮美女鼠牛虎兔龙蛇马羊猴鸡狗猪多彩人生火热情怀优雅迷人缤纷心情蝴蝶情怀心曲飞扬星星情怀七彩绚丽相遇之美花好月圆心香一瓣飞龙在天王者至尊生财有道大将风范天籁妙音妙笔生花共看流星风雨同行我心永远幸福快乐前途似锦花潮版主

 楼主| 发表于 2020-4-16 18:31 | 显示全部楼层
美报告质疑中方秘密进行小规模核试验,赵立坚:捕风捉影

2020
04/16
15:25
环球网

中国外交部发言人赵立坚表示,我们注意到有关的报告,近年来美国每年都炮制所谓的军控遵约报告,摆出一副裁判和法官的姿态,对他国军控和防扩散政策指手画脚、说三道四,并将自己标榜为模范,这完全是颠倒黑白、倒打一耙。
【环球时报-环球网报道 记者 李司坤】美国国务院15日在一份军控报告中宣称,有迹象显示,中国有可能在罗布泊等地进行秘密且低当量的小规模核实验。在16日举行的外交部例行记者会上,有记者就此事提问称,美国国务院15日发布《2020年军控遵约报告》摘要,指责中国未遵守暂停核试验、导弹防扩散承诺。中方对此有何评论?
对此,中国外交部发言人赵立坚表示,我们注意到有关的报告,近年来美国每年都炮制所谓的军控遵约报告,摆出一副裁判和法官的姿态,对他国军控和防扩散政策指手画脚、说三道四,并将自己标榜为模范,这完全是颠倒黑白、倒打一耙。
中方一向认为军控、防扩散等领域相关条约和机制是维护国际和平、安全与稳定的重要支柱,理应得到遵守和执行。中方一贯本着负责任的态度,认真履行自身承担的国际义务和承诺,坚定致力于多边主义,积极开展国际合作,为维护国际军控与防扩散体系,维护国际和平安全作出了重要贡献。对此,国际社会自有公论。
“美方对中国的指责完全是捕风捉影、子虚乌有、不值一驳”,赵立坚说,反观美国,美国近年来在军控和防扩散领域奉行美国优先,一再毁约退群,倒行逆施不断。“例如退出《中导条约》、《伊核问题全面协议》,撤销签署《武器贸易条约》,独家阻挡《禁止生物武器公约》核查议定书谈判,迄未完成库存化学武器销毁,全方位提升军力,严重破坏全球战略平衡与稳定,阻碍国际军控与裁军进程,受到国际社会普遍谴责,根本没有资格以裁判和法官自居。”
赵立坚指出,我们奉劝美方反躬自省,停止对其他国家说三道四。

该用户从未签到

1644

主题

23万

回帖

26万

积分

版主

Rank: 7Rank: 7Rank: 7Rank: 7Rank: 7Rank: 7Rank: 7

花潮美女鼠牛虎兔龙蛇马羊猴鸡狗猪多彩人生火热情怀优雅迷人缤纷心情蝴蝶情怀心曲飞扬星星情怀七彩绚丽相遇之美花好月圆心香一瓣飞龙在天王者至尊生财有道大将风范天籁妙音妙笔生花共看流星风雨同行我心永远幸福快乐前途似锦花潮版主

 楼主| 发表于 2020-4-16 22:41 | 显示全部楼层
面对"西方精英"的蓄意抹黑 中国下一步该做什么

2020年04月15日 11:51 新浪军事综合 作者:瞭望智库

  在疫情中,污蔑中国为何成了西方精英的“刚需”?
  来源:瞭望智库
  随着新冠状病毒(COVID-19)疫情发展而产生的争论,已经变成一场世界范围内的舆论混战,其中,中国的抗疫表现,是最为引人注目的一个焦点。
  可以预期,对于疫情发展和各国抗疫表现的看法,会因为各种各样的利害关系而被“政治化”。但是,如果在方法上也陷入情绪化的辩论,就无助于中国主流社会认清问题的本质。
  那么,与美国和欧洲各国相比,中国的抗疫表现究竟强在哪里?
  西方精英为何如此蓄意抹黑中国?
  下一步,中国应该如何采取行动?
  为了更加科学和直观地阐释问题,笔者提供一个分析抗疫绩效的简单模型。
  文 | 路风  北京大学政府管理学院教授
  本文为瞭望智库原创文章,如需转载请在文前注明来源瞭望智库(zhczyj)及作者信息,否则将严格追究法律责任
  辨明是非需要一个科学分析框架
  为了把对问题的分析建立在科学的基础上,我们首先需要根据事件的发展经验,将影响抗疫绩效的主要因素抽象出来。
  由于新冠病毒具有潜伏期长、感染性强等特点,疫情在各国都明显表现出两个阶段:出现零星病例的早期阶段和突然大面积传染的暴发阶段。
  结合各国对疫情的实际反应过程,我们可以很清楚地看出,在这两个阶段,影响抗疫绩效的因素主要有两个:
  第一,从发现病毒、报告情况到领导层知会疫情的过程,其实质内容是信息透明、传达通畅和国家领导层对疫情的认识;
  第二,在国家领导层认识到疫情威胁之后采取的行动以及对这些行动的制度支持,其实质内容是抗疫行动的速度、有效性和对这些行动的制度推进。
  根据上述经验性观察,我们把一个国家抗疫的绩效或危害程度(绩效的反面)表达为一个函数:P = F(I, A, t)。
  *P为抗疫的绩效(Performance);
  *I为从发现和报告疫情到领导层知会的过程(Information);
  *A为国家领导层在认识到疫情威胁之后采取抗疫行动的有效性(Action);
  *t是时间。
  从各国抗疫的实际经验可知,随着时间的推移,I和A对P的影响是不同的。
  在疫情出现的早期阶段,I的影响更大——领导层和社会越早意识到疫情的严重性,就越有可能开始做好准备,反之则会耽误对疫情的控制;一旦决策者认识到问题的严重性并采取必要措施抗击疫情,A在疫情暴发阶段的作用便会迅速增加,最终决定一个国家的抗疫绩效。
  因此,这个函数不是A和I简单相加的结果,可以用指数函数来刻画这两个因素随时间变化对P的共同作用。
  于是,我们构建出P关于时间t的关系表示式:

                               
登录/注册后可看大图



该用户从未签到

1644

主题

23万

回帖

26万

积分

版主

Rank: 7Rank: 7Rank: 7Rank: 7Rank: 7Rank: 7Rank: 7

花潮美女鼠牛虎兔龙蛇马羊猴鸡狗猪多彩人生火热情怀优雅迷人缤纷心情蝴蝶情怀心曲飞扬星星情怀七彩绚丽相遇之美花好月圆心香一瓣飞龙在天王者至尊生财有道大将风范天籁妙音妙笔生花共看流星风雨同行我心永远幸福快乐前途似锦花潮版主

 楼主| 发表于 2020-4-16 22:42 | 显示全部楼层
驻在平安夜前夕 发表于 2020-4-16 22:41
面对"西方精英"的蓄意抹黑 中国下一步该做什么

2020年04月15日 11:51 新浪军事综合 作者:瞭望智库

  公式1
  公式1用图1表达更为直观。

                               
登录/注册后可看大图

  图1:抗疫绩效的示意
  它反映出3个特征:
  抗疫绩效随时间的推移一定是增高的,而对于一个国家来说,重要的是在最短的时间内使绩效达到最高,即有效控制住疫情;
  疫情开始后,初期的抗疫绩效低于后期的,这是因为后期A因素开始发挥显著作用;
  曲线越陡峭,绩效越高;曲线越平滑,绩效越低。
  在该模型中,参数I和A对于P的影响是不同的,初期I的影响可能大于A,但随着时间推移,A的影响会显著增长,最终对P产生决定性的影响。下面,我们对这种关系进行定量分析:
  首先对P关于t求导,得出:

                               
登录/注册后可看大图



该用户从未签到

1644

主题

23万

回帖

26万

积分

版主

Rank: 7Rank: 7Rank: 7Rank: 7Rank: 7Rank: 7Rank: 7

花潮美女鼠牛虎兔龙蛇马羊猴鸡狗猪多彩人生火热情怀优雅迷人缤纷心情蝴蝶情怀心曲飞扬星星情怀七彩绚丽相遇之美花好月圆心香一瓣飞龙在天王者至尊生财有道大将风范天籁妙音妙笔生花共看流星风雨同行我心永远幸福快乐前途似锦花潮版主

 楼主| 发表于 2020-4-16 22:42 | 显示全部楼层
驻在平安夜前夕 发表于 2020-4-16 22:42
  公式1  公式1用图1表达更为直观。
  图1:抗疫绩效的示意  它反映出3个特征:  抗疫绩效随 ...

  公式2
  公式2反映了这样一个事实:
  I对于P的增长率(即抗疫绩效提高)的影响是线性的,而A的影响是随着时间成指数增长的。
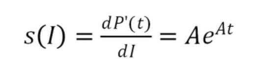
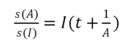
  下面,我们分别对I和A求偏导数,可以定量分析I和A对P‘(t)的影响,设s(A)和s(I)分别为P’(t)对于A和I的敏感度,则得出:

                               
登录/注册后可看大图

  公式3

                               
登录/注册后可看大图

  公式4
  由公式3和公式4可得:

                               
登录/注册后可看大图

  公式5
  公式5表明,A和I对P增长率的贡献之比会随着时间线性增长,亦即随着时间推移,A对于P的增长率贡献会越来越大。
  这个模型是在事件的经验基础上建立起一组逻辑关系,目的是为了帮助理解决定各国抗疫绩效不同(因变量)的原因以及各个影响因素(自变量)的作用机制。
  虽然我们对变量的定义还很笼统,但仍然有助于把目前的情绪化议论引向科学分析的方向,尚需解决的主要问题是验证这个模型的合理性。
  科学结论 中国抗疫就是比美欧强
  为了检验一下模型对于解释各国抗疫绩效的合理性,我们还是从经验证据出发进行讨论。

该用户从未签到

1644

主题

23万

回帖

26万

积分

版主

Rank: 7Rank: 7Rank: 7Rank: 7Rank: 7Rank: 7Rank: 7

花潮美女鼠牛虎兔龙蛇马羊猴鸡狗猪多彩人生火热情怀优雅迷人缤纷心情蝴蝶情怀心曲飞扬星星情怀七彩绚丽相遇之美花好月圆心香一瓣飞龙在天王者至尊生财有道大将风范天籁妙音妙笔生花共看流星风雨同行我心永远幸福快乐前途似锦花潮版主

 楼主| 发表于 2020-4-16 22:43 | 显示全部楼层
驻在平安夜前夕 发表于 2020-4-16 22:42
  公式2  公式2反映了这样一个事实:  I对于P的增长率(即抗疫绩效提高)的影响是线性的,而A的影 ...

  截止到2020年4月9日,美国新冠病毒感染的确诊病例达到465,088人,居于全球之首。不过,美国因感染新冠病毒而死亡的人数和感染死亡率均低于几个主要的欧洲国家(意大利、法国、西班牙)。
  到4月9日,中国已经控制住疫情,新冠病毒确诊病例81,907人,确诊病例数和死亡病例数均远低于美国和欧洲;中国的感染病死率大幅低于欧洲国家,略高于暴发期较晚的美国(由于这些数据被媒体广泛报道,本文不再详细列举)。
  从这些数据看,中国的抗疫绩效在总体上超过美国和欧洲;就感染死亡人数和病死率来说,美国的抗疫绩效又好于欧洲国家(美国确诊病例人数多的情况要考虑到美国的人口规模远大于欧洲国家)。
  我们用图2来表示这些情况。

                               
登录/注册后可看大图

  图2:各国抗疫绩效的示意图
  图2在表示中国、美国和欧洲国家的抗疫绩效方面是与经验数据相符的,说明该图具有合理性。更进一步,由于图2是图1的“翻版”,所以图2也就以经验证据证明了函数公式1在解释抗疫绩效上的合理性。
  因此,我们可以应用公式1,来分析各个自变量(I, A, t)与因变量(P)之间的因果关系,以便分析这些因素在影响各国抗疫绩效过程中的作用机制。

您需要登录后才可以回帖 登录 | 立即注册

本版积分规则

小黑屋|手机版|Archiver|服务支持:DZ动力|huachaowang.com Inc. ( 蜀ICP备17032287号-1 )

GMT+8, 2025-12-18 13:57 , Processed in 0.138187 second(s), 21 queries .

Powered by Discuz! X3.4

© 2001-2013 Comsenz Inc.

快速回复 返回顶部 返回列表